藥品簡介
通用名注射用氫化可的松琥珀酸鈉
英文名HYDROCORTISONESODIUMSUCCINATEFORINJECTION
拼音名ZHSHEYONGQINGHUAKEDISONGHUPOSUANNA
藥品類別腎上腺皮質激素類
性狀本品為白色或幾乎白色的疏鬆塊狀物。
貯藏密閉,遮光保存。
主要成分
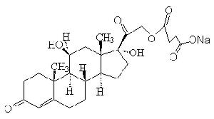
氫化可的松琥珀酸鈉結構式通用名氫化可的松琥珀酸鈉
化學名11β,17-二羥基-21-(3-羧基-1-羥丙氧基)孕甾-4-烯-3,20-二酮,-鈉鹽
拼音名ZHSHEYONGQINGHUAKEDISONG
英文名HYDROCORTISONE21-HEMISUCCINATE*SODIUMCELLCULTU
CASNo.125-04-2
分子式C25H33NaO8
分子量484.52
規格(1)50mg(按氫化可的松計算)(2)100mg(按氫化可的松計算)(3)500mg
藥理毒理
腎上腺皮質激素類藥。氫化可的松琥珀酸鈉是氫化可的松的鹽類化合物。具有抗炎、抗過敏和抑制免疫等多種藥理作用。
(1)抗炎作用:糖皮質激素減輕和防止組織對炎症的反應,從而減輕炎症的表現。
(2)免疫抑制作用:防止或抑制細胞中介的免疫反應,延遲性的過敏反應,並減輕原發免疫反應的擴展。
(3)抗毒、抗休克作用:糖皮質激素能對抗細菌內毒素對機體的刺激反應,減輕細胞損傷,發揮保護機體的作用。
藥代動力學
氫化可的松琥珀酸鈉鹽為水溶性製劑,可用於靜脈注射或作為迅速吸收的肌肉注射劑而迅速發揮作用,其生物T1/2約為100分鐘,血中90%以上的氫化可的松與血漿蛋白相結合。本品主要經肝臟代謝,轉化為四氫可的松和四氫氫化可的松,大數代謝產物結合成葡糖醛酸酯,極少量以原型經尿排泄。
適應症
用於搶救危重病人如中毒性感染、過敏性休克、嚴重的腎上腺皮質功能減退症、結締組織病、嚴重的支氣管哮喘等過敏性疾病,並可用於預防和治療移植物急性排斥反應。
用法用量
臨用前,用生理氯化鈉注射液或5%葡萄糖注射液稀釋後使用。靜脈注射用於治療成人腎上腺皮質功能減退及垂體前葉功能減退危象,嚴重過敏反應,哮喘持續狀態、休克,每次游離型100mg或氫化可的松琥珀酸鈉135mg靜脈滴注,可用至每日300mg至400mg,療程不超過3-5日。
不良反應
糖皮質激素在套用生理劑量替代治療時無明顯不良反應,不良反應多發生在套用藥藥理劑量時,而且與療程、劑量、用藥種類、用法及給藥途徑等有密切關係。常見不良反應有以下幾類:
1.長程使用可引起以下副作用:醫源性庫欣綜合徵面容和體態、體重增加、下肢浮腫、紫紋、易出血傾向、創口癒合不良、痤瘡、月經紊亂、肱或股骨頭缺血性壞死、骨質疏鬆或骨折(包括脊椎壓縮性骨折、長骨病理性骨折)、肌無力、肌萎縮、低血鉀綜合徵、胃腸道刺激(噁心、嘔吐)、胰腺炎、消化性潰瘍或穿孔,兒童生長受到抑制、青光眼、白內障、良性顱內壓升高綜合徵、糖耐量減退和糖尿病加重。
2.患者可出現精神症狀:欣快感、激動、譫妄、不安、定向力障礙,也可表現為抑制。精神症狀由易發生與患慢性消耗性疾病的人及以往有過精神不正常者。
3.並發感染為腎上腺皮質激素的主要不良反應。以真菌、結核菌、葡萄球菌、變形桿菌、綠膿桿菌和各種皰疹病毒為主。
4.糖皮質激素停藥綜合徵。有時患者在停藥後出現頭暈、昏厥傾向、腹痛或背痛、低熱、食慾減退、噁心、嘔吐、肌肉或關節疼痛、頭疼、乏力、軟弱,經仔細檢查如能排除腎上腺皮質功能減退和原來疾病的復燃,則可考慮為對糖皮質激素的依賴綜合徵。
5.靜脈迅速給予大劑量可能發生全身性的過敏反應,包括面部、鼻黏膜、眼瞼腫脹,尋麻疹,氣短,胸悶,喘鳴。
禁忌症
對本品及其它甾體激素過敏者禁用。下列疾病患者一般不宜使用,特殊情況應權衡利弊使用,但應注意病情惡化可能:嚴重的精神病(過去或現在)和癲癇,活動性消化性潰瘍病,新近胃腸吻合手術,骨折,創傷修復期,角膜潰瘍,腎上腺皮質機能亢進症,高血壓,糖尿病,孕婦,抗菌藥物不能控制的感染如水痘、麻疹、黴菌感染、較重的骨質疏鬆等。
注意事項
1.誘發感染:在激素作用下,原來已被控制的感染可活動起來,最常見者為結核感染復發。在某些感染時套用激素可減輕組織的破壞、減少滲出、減輕感染中毒症狀,但必須同時用有效的抗生素治療、密切觀察病情變化,在短期用藥後,即應迅速減量、停藥。
2.對診斷的干擾:(1)糖皮質激素可使血糖、血膽固醇和血脂肪酸、血鈉水平升高、使血鈣、血鉀下降。(2)對外周血象的影響為淋巴細胞、真核細胞及嗜酸、嗜鹼細胞數下降,多核白細胞和血小板增加,後者也可下降。(3)長期大劑量服用糖皮質激素可使皮膚試驗結果呈假陰性,如結核菌素試驗、組織胞漿菌素試驗和過敏反應皮試等。(4)還可使甲狀腺131I攝取率下降,減弱促甲狀腺激素(TSH)對TSH釋放素(TRH)刺激的反應,使TRH興奮實驗結果呈假陽性。干擾促黃體生成素釋放素(LHRH)興奮試驗的結果。(5)使同位素腦和骨顯象減弱或稀疏。
3.下列情況應慎用:心臟病或急性心力衰竭、糖尿病、憩室炎、情緒不穩定和有精神病傾向、全身性真菌感染、青光眼、肝功能損害、眼單純性皰疹、高脂蛋白血症、高血壓、甲減(此時糖皮質激素作用增強)、重症肌無力、骨質疏鬆、胃潰瘍、胃炎或食管炎、腎功能損害或結石、結核病等。
4.隨訪檢查:長期套用糖皮質激素者,應定期檢查以下項目:(1)血糖、尿糖或糖耐量試驗,尤其是糖尿病或糖尿病傾向者。(2)小兒應定期檢測生長和發育情況。(3)眼科檢查,注意白內障、青光眼或眼部感染的發生。(4)血清電解質和大便隱血。(5)高血壓和骨質疏鬆的檢查,尤以老年人為然。
用藥
孕婦及哺乳期婦女用藥(1)妊娠期用藥:糖皮質激素可通過胎盤。動物實驗研究證實孕期給藥可增加胚胎齶裂,胎盤功能不全、自發性流產和子宮內生長發育遲緩的發生率。人類使用藥理劑量的糖皮質激素可增加胎盤功能不全、新生兒體重減少或死胎的發生率。(2)哺乳期用藥:由於糖皮質激素可由乳汁中排泄,對嬰兒造成不良影響,如生長受抑制、腎上腺皮質功能抑制等。孕婦及哺乳期婦女在權衡利弊情況下,儘可能避免使用。
兒童用藥小兒如長期使用腎上腺皮質激素,須十分慎重。
老年患者用藥老年患者用糖皮質激素易發生高血壓及糖尿病。老年患者尤其是更年期後的女性套用糖皮質激素易加重骨質疏鬆。
藥物相互作用
⑴非甾體消炎鎮痛藥可加強其致潰瘍作用。
⑵可增強對乙醯氨基酚的肝毒性。
⑶與兩性黴素B或碳酸酐酶抑制劑合用,可加重低鉀血症,長期與碳酸酐酶抑制劑合用,易發生低血鈣和骨質疏鬆。
⑷與蛋白質同化激素合用,可增加水腫的發生率,使痤瘡加重。
⑸與抗膽鹼能藥(如阿托品)長期合用,可致眼壓增高。
⑹三環類抗抑鬱藥可使其引起的精神症狀加重。
⑺與降糖藥如胰島素合用時,因可使糖尿病患者血糖升高,應適當調整降糖藥劑量。
⑻甲狀腺激素可使其代謝清除率增加,故甲狀腺激素或抗甲狀腺藥與其合用,應適當調整後者的劑量。
⑼與避孕藥或雌激素製劑合用,可加強其治療作用和不良反應。
⑽與強心苷合用,可增加洋地黃毒性及心律紊亂的發生。
⑾與排鉀利尿藥合用,可致嚴重低血鉀,並由於水鈉瀦留而減弱利尿藥的排鈉利尿效應。
⑿與麻黃鹼合用,可增強其代謝清除。
⒀與免疫抑制劑合用,可增加感染的危險性,並可能誘發淋巴瘤或其他淋巴細胞增生性疾病。
⒁可增加異煙肼在肝臟代謝和排泄,降低異煙肼的血藥濃度和療效。
⒂可促進美西律在體內代謝,降低血藥濃度。
⒃與水楊酸鹽合用,可減少血漿水楊酸鹽的濃度。
⒄與生長激素合用,可抑制後者的促生長作用。
藥物過量
可引起類腎上腺皮質功能亢進綜合症。
