研究方向
不論是在國際貿易理論還是在經濟成長理論方面,人們日益發現“規模經濟”是問題的核心。儘管人們可以在完全競爭的框架下對外部規模經濟問題進行研究,但內部規模經濟卻無法和競爭性的市場結構相兼容。在D-S模型提出以前,由於內部規模經濟模型的求解極為複雜、且一般不能求出均衡解(從而更無法進行福利分析和比較),人們不得不藉助於外部性、溢出效應和邊乾邊學等似是而非的概念,將研究局限於外部規模經濟的分析。不論是經濟理論本身還是對經濟現實的解釋,都要求一種能夠對內部規模經濟和壟斷競爭的市場結構進行嚴格分析的理論框架,D-S模型則為該問題的解決提供了簡潔的基本方法。
迪克西特和斯蒂格利茨在論文中指出,經濟學中的一個基本問題是:一個市場解能否導致社會最優的產品數量和產品種類?分配不公、外部效應和規模經濟都是導致不完全市場結構、並使得市場均衡解偏離社會最優解的原因。他們的主要目的,是對其中的(內部)規模經濟情形進行分析。他們首先構造了著名的迪克西特-斯蒂格利茨效用函式(D-S效用函式,後被引申為D-S生產函式),然後依次在效用函式是不變彈性、可變彈性和非對稱性的情形下求出其市場均衡解,並分別在每種情形下對市場均衡解和社會最優解進行了比較。
D-S模型的核心內容體現在消費和生產兩個方面:
(1)他們通過構造一個包含產品種類的D-S效用函式,推導出了特定形式的需求函式和張伯倫dd曲線與DD曲線;
(2)他們假定每種產品的生產都具有不變的固定成本和邊際成本(這意味著成本函式具有平均成本遞減和邊際成本不變的性質,從而呈現出內部規模經濟的特徵),然後結合需求函式和新廠商自由進入的條件,求得每個廠商的均衡產量、均衡價格和產品種類數量。
為了討論產品數量和產品種類的關係,迪克西特和斯蒂格利茨首先將整個經濟分為兩部分:某個行業(集團或部門)和行業之外的其它部分。假定行業內部的各種產品之間具有很好的替代性,但與其它行業產品之間的替代性則很差。如果將行業之外的所有產品用x0表示,行業內的各種產品用
迪克西特·斯蒂格利茨模型
迪克西特·斯蒂格利茨模型為了在
迪克西特·斯蒂格利茨模型
迪克西特·斯蒂格利茨模型
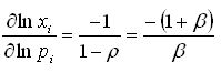
迪克西特·斯蒂格利茨模型在n很大的情況下,可以忽略每種產品的價格pi對價格指數q的影響,這時的需求函式就表現為張伯倫dd曲線,其需求價格彈性為
迪克西特·斯蒂格利茨模型為了求解市場均衡時的均衡價格、均衡產量和產品種類,必須考察廠商的生產條件。假定每個廠商的成本函式都採取如下形式:C(xi) = a + cxi,其中a為固定成本,c為不變的邊際成本。為了求出市場均衡解,他們採用了利潤最大化的兩個條件:第一,每個廠商的邊際成本等於邊際收入;第二,新廠商自由進入,直至淨利潤恰好為零(即對第n個廠商有(Pn − c)xn = a)。由於效用函式和成本函式都是對稱的,因此在市場均衡時,每個廠商具有相同的均衡產量、面對同樣的均衡價格。因此,根據需求函式和上述兩個生產條件,可以求得均衡價格Pe = c(1 + β) = c / ρ、均衡產量xe = a / βc和產品種類n。
以上內容是D-S模型的核心,也是新古典貿易理論和新增長理論予以借鑑和套用的主要方面(該模型還包括在各種情形下對市場均衡和社會最優的比較)。概括地講,該模型的核心假定,一是構造了體現產品種類的D-S效用函式,二是假定廠商具有不變的固定成本和邊際成本;求解該模型一般均衡的主要方法,是根據效用函式求出行業內各種產品的需求函式,然後結合利潤最大化(邊際收入等於邊際成本)和自由進入(邊際廠商的淨收益為零)條件求得均衡產量、均衡價格和產品種類。
D-S模型的主要貢獻,是為考慮產品種類的壟斷競爭模型提供了簡潔的分析框架。正如迪克西特和斯蒂格利茨在論文引言部分所指出的,儘管蘭開斯特的產品特性法、霍特林的空間模型法、以及均方差資產選擇模型也對產品種類進行了模型化,但這些間接的方法較為複雜,難以進行一般均衡分析和進一步套用。人們可以看到,在新貿易理論以及保羅·羅默(1987,1990)和格羅斯曼與赫爾普曼等人的新增長理論中,D-S模型構成了基本的邏輯起點。
與新貿易理論
新貿易理論的出現有現實和理論兩方面的原因:從國際貿易的現實方面看,戰後已開發國家之間的“產業內貿易”日益構成國際貿易的主要方面,而傳統的比較利益理論和要素稟賦理論不能對這一現象做出合理的解釋(因為在不存在任何比較利益和要素稟賦的情況下,也可以產生大量的國際貿易);從經濟理論方面看,D-S模型使得對存在內部規模經濟情形下的壟斷競爭的市場結構進行一般均衡分析變得簡單易行。因此在該模型提出僅僅兩年之後,就興起了以克魯格曼、
迪克西特-斯蒂格利茨模型克魯格曼(1979)是新貿易理論的經典論文,幾乎完全是D-S模型在國際貿易理論的直接套用。與D-S模型一樣,克魯格曼假定所有消費者具有相同的、對稱的效用函式
迪克西特·斯蒂格利茨模型(1)產量等於消費量,即xi = Lci;
(2)經濟實現充分就業,即
迪克西特·斯蒂格利茨模型假定存在兩個具有相同消費者偏好和生產技術的國家,那么根據傳統的貿易理論,克魯格曼在上述模型中描述的經濟不可能產生國際貿易(只有勞動一種投入,從而排除了要素稟賦差異的可能)。但根據上述模型,國際貿易就像一國人口的增加一樣,不僅能夠增加均衡產量,而且能夠增加產品種類,從而使得每個國家可以從國際貿易中得到好處、並改進每個國家的福利水平。這就為“產業內貿易”現象提供了簡潔但令人信服的解釋。此外,新貿易理論的另一個重要代表人物埃塞爾在《現代國際貿易理論中的國內和國際規模收益》(1982)一文中,首次將D-S效用函式引申為生產函式,對第二輪新增長理論(壟斷競爭框架)的興起產生了重要的影響。總的看來,就新貿易理論的核心內容和基本政策主張而言,不論是“產業內貿易”、還是戰略性貿易政策和相互傾銷理論(在克魯格曼的模型中,貿易結構或國際分工是不確定的),其理論基石都是D-S模型及其對內部規模經濟和壟斷競爭市場結構的一般均衡分析。
與新增長理論
迪克西特-斯蒂格利茨模型羅默(1987,1990)借用了埃塞爾(1982)發展的D-S模型生產函式,在壟斷競爭的框架下考察了產品種類導致內生經濟成長的內在機制。其中,在羅默所發表的《以專業化引起遞增收益為基礎的增長》(1987)的論文中,最終產品部門的產出僅是勞動和中間品投入的函式;在《內生技術變遷》(1990)的論文中則將人力資本投入考慮進來。在羅默(1990)的模型中,存在著最終產品、中間產品和研究開發三個部門。最終產品的生產函式為
迪克西特·斯蒂格利茨模型
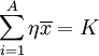
迪克西特·斯蒂格利茨模型不必詳細推導均衡的求解過程,人們就可以發現該模型的內生增長含義。由於中間品的生產及其在最終產品的生產函式中是對稱的,因此均衡條件下每種中間品的產量應該是相同的,記之為x 。假定研究開發部門決定的中間品種類為A,那么必有
迪克西特·斯蒂格利茨模型
迪克西特·斯蒂格利茨模型
迪克西特·斯蒂格利茨模型上述分析表明,D-S模型及其提供的分析框架在沒有增加任何複雜性的情況下,對內部規模經濟現象做出了很好的理論解釋。,它基本上已成為國際貿易理論和經濟成長理論研究的標準工具。另外,正是由於迪克西特和斯蒂格利茨的這一創造性貢獻,經濟學家現在可以將國際貿易和經濟成長放在同一個框架下進行分析,並在很大程度上將二者視為相同的經濟問題。
