簡介
平拋運動圖解平拋運動可用兩種途徑進行解答 . 一種是位移途徑; 另一種是速度途徑。
平拋運動位移途徑為:1. (水平)
平拋運動2.(豎直)
平拋運動3.
還有速度途徑為:1. V=s/t
2. V(豎直)=gt
〔此公式是由V=v0+gt變形的來的,這裡默認的是自由落體運動,所以v=0,所以得到上述公式,但當豎直初速度不為0時,這個公式就不適用了)
平拋運動補充公式: 1.
平拋運動2.
平拋運動3.
平拋運動4.
5.tanα=v豎直/v水平
平拋運動t時間內的位移
tanα=2tanβ(α是某時速度與水平方向的夾角,β是位移與水平方向的夾角)
運動公式
分析
平拋運動可視為以下兩個運動的合運動:
(1)物體在水平方向上不受外力,由於慣性而做初速度不變的勻速直線運動
(2)物體在豎直方向上初速度為零,只受重力作用而做的自由落體運動。
這兩個分運動各自獨立,又是同時進行,具有分運動的獨立性和等時性。
(3) 平拋運動的運動軌跡:
∵x=v0t,y=(1/2)*gt^2
∴ s=1/2g(x/v0)^2
∴其運動軌跡是被稱為拋物線的曲線。
平拋
1.水平方向速度Vx=V0
2.豎直方向速度Vy=gt
3.水平方向位移x=V0t
4.豎直方向位移y=(1/2)*gt^2
5.合速度Vt=√Vx^2+Vy^2
6.合速度方向與水平夾角β: tgβ=Vy/Vx=gt/V0
7.合位移S=(x^2+ y^2)^1/2
8.位移方向與水平夾角α: tgα=Sy/Sx=gt/2V0
實驗裝置規律
公式:水平方向:s=v0*t
豎直方向:h=1/2gt^2
兩個公式中時間t是相同的
合速度公式,根號下{V0^2+(gt)^2}
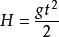
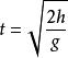
1.運動時間只由高度決定。
構想在高度H處以水平速度vo將物體拋出,若不計空氣阻力,則物體在豎直方向的運動是自由落體運動,由公式可得: h=1\2gt^2,由此式可以看出,物體的運動時間只與平拋運動開始時的高度有關。t=(2h/g)^1/2
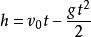
2.水平位移和落地速度由高度和初速度決定。
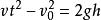
平拋物體水平方向的運動是勻速直線運動,其水平位移,將代入得:x(水平)=v0t=v0(2h/g)^1/2
v(落地速度)=√(v0^2+2gh)
由此是可以看出,水平位移和落地速度是由初速度和平拋開始時的高度決定的。
平拋運動的物體在任何相等的時間內位移的增量都是相同的。
3.在任意相等的時間裡,速度的變化量相等,方向也相同. 是加速度大小,方向不變的曲線運動
由於平拋物體的運動是水平方向的勻速直線運動和豎直方向的自由落體運動的和合運動。運動中,其水平運動的速度保持不變,單位時間裡,水平方向的分速度的變化量為零,豎直方向的分速度的變化量為9.8m/s^2,而時間裡合速度的變化量為兩個方向速度變化量的矢量和,其大小為:9.8m/s^2,方向豎直向下。由此可知,在相等的時間裡,速度的變化量相等,由此也可以知道,在任意相等的時間裡,動量的變化量相等。
4.任意時刻,速度偏向角的正切等於位移偏向角正切的兩倍。
5.任意時刻,速度矢量的反向延長線必過水平位移的中點。
6.從斜面上沿水平方向拋出物體,若物體落在斜面上,物體與斜面接觸時的速度方向與水平方向的夾角的正切是斜面傾角正切的二倍。
7.從斜面上水平拋出的物體,若物體落在斜面上,物體與斜面接觸時速度方向、物體與斜面接觸時速度方向和斜面形成的夾角與物體拋出時的初速度無關,只取決於斜面的傾角。
斜面平拋
解決平拋運動與斜面相結合的問題,關鍵是要先理解平拋運動在水平與豎直方向上的位移與斜面長度及傾角相結合的關係。
分清速度關係和位移關係。

