簡介
面積是表示平面中二維圖形或形狀或平面層的程度的數量。表面積是三維物體的二維表面上的模擬物。面積可以理解為具有給定厚度的材料的量,面積是形成形狀的模型所必需的,或者用單一塗層覆蓋表面所需的塗料量。它是曲線長度(一維概念)或實體體積(三維概念)的二維模擬。
可以通過將固定尺寸的形狀與正方形進行比較來測量形狀的面積。在國際單位制(SI)中,標準單位面積為平方米(平方米),面積為一米長的正方形面積[3]面積為三平方米的形狀將與三個這樣的廣場相同。在數學中,單位正方形被定義為具有區域1,任何其他形狀或表面的面積都是無量綱實數。
有幾種眾所周知的簡單形狀的公式,如三角形,矩形和圓形。使用這些公式,可以通過將多邊形分成三角形來找到任何多邊形的面積。對於具有彎曲邊界的形狀,通常需要微積分來計算面積。事實上,確定飛機數字面積的問題是演算歷史發展的主要動機。
對於諸如球體,錐體或圓柱體的實體形狀,其邊界面的面積被稱為表面積,簡單形狀的表面區域的公式由古希臘人計算,但計算更複雜形狀的表面積通常需要多變數微積分。
區域在現代數學中起著重要的作用。除了其在幾何和微積分中的顯著重要性,面積與線性代數中的決定因素的定義有關,是微分幾何中表面的基本特性。在分析中,使用Lebesgue測量來定義平面的子集的面積,儘管並不是每個子集都是可測量的。一般來說,高等數學領域被視為二維地區體積的特殊情況。
可以通過使用公理來定義區域,將其定義為某些平面圖的集合與實數集合的函式。可以證明存在這樣的函式。
發展歷史
圓的面積
在公元前5世紀,希俄斯堡的希波克拉底是第一個顯示碟片區域(由圓圈包圍的區域)與其直徑的平方成比例的,作為他在希波克拉底時代的正交的一部分[12] ]但沒有確定比例常數。 Cnidus的Eudoxus也在公元前5世紀也發現磁碟的面積與其半徑平方成正比。
隨後,歐幾里德要素的第一卷涉及二維人物之間的平等。數學家阿基米德使用歐幾里德幾何的工具來表明,在他的書“測量圈”中,一個圓內的區域與一個直角三角形的直角三角形相同,其直徑三角形具有圓的圓周長度,高度等於圓的半徑。 (圓周為2πr,三角形的面積為基準的一半乘以高度,產生磁碟的面積為πr2)。阿基米德的近似值為π(因此單位半徑圓的面積)與他的倍數方法,其中刻有一個正三角形的圓圈並註明其面積,然後將邊數增加一倍,給出正六邊形,然後隨著多邊形的面積越來越接近圓的邊數,反覆加倍邊數(並用限定的多邊形做同樣的)。
1761年,瑞士科學家約翰·海因里希·蘭伯特(Johann Heinrich Lambert)證明,一個圓的面積與其平方半徑的比值是不合理的,這意味著π不等於任意兩個整數的商。 1794年,法國數學家Adrien-Marie Legendre證明π2是不合理的;這也證明π是不合理的[15] 1882年,德國數學家費迪南德·馮·林德曼(Ferdinand von Lindemann)證明,π是超驗的(不是任何具有理性係數的多項式方程的解),證實了勒讓德和歐拉的推測。
三角形面積
亞歷山大的蒼鷺(或英雄)發現了三角形方面所謂的蒼鷺的公式,並且在他的書中,可以在他的大約60年前寫的Metrica的書中找到一個證明。有人建議阿基米德在兩個世紀前知道這個公式,由於Metrica是古代世界可用的數學知識的集合,所以有可能該公式早於該作品中的參考。
在印度數學和印度天文學古典時代的一位偉大的數學家 - 天文學家499年,Aryabhata將三角形的面積表示為Aryabhatiya高度的一半。
中國人獨立於希臘人發現了相當於蒼鷺的公式。它於1247年在蜀崎九章出版(“九章數學論”)上發表,由秦九紹撰寫。
四邊形面積
在公元七世紀,Brahmagupta開發了一個公式,現在稱為Brahmagupta的公式,用於其側面的循環四邊形(四邊形刻在圓中)的面積。 1842年,德國數學家Carl Anton Bretschneider和Karl Georg Christian von Staudt獨立地發現了一種稱為Bretschneider公式的公式,用於任何四邊形的區域。
一般多邊形面積
17世紀由雷內笛卡爾發展笛卡爾坐標允許在19世紀由高斯開發具有已知頂點位置的任何多邊形區域的測量師公式。
使用微積分確定面積
17世紀末的積分演化提供了隨後可用於計算更複雜區域的工具,例如橢圓的面積和各種彎曲的三維物體的表面積。
單位
面積(square)的測量單位主要包括:
面積平方米(米的二次方 )——國際標準單位
公畝——100平方米
公頃(ha/hm )——10,000平方米
平方公里(km )——1,000,000平方米
市制:
平方市里——0.25平方公里
平方市尺——1/9平方米
台制:
台灣甲——9,699.173平方公尺
坪——3.3058平方公尺
香港:
平方尺(平方英尺)
常用的面積單位有平方厘米、平方分米和平方米。
(1)邊長是1厘米的正方形,面積是1平方厘米。
(2) 邊長是1分米的正方形,面積是1平方分米。
(3)邊長是1米的正方形,面積是1平方米。
一般測量較大的面積用到公頃和平方千米。
(1)邊長是100米的正方形,面積是1公頃。
(2)邊長是1千米的正方形,面積是1平方千米。
計算
面積長方形(矩形): {長方形面積=長×寬}
面積正方形: {正方形面積=邊長×邊長}
面積平行四邊形: {平行四邊形面積=底×高}
面積三角形: {三角形面積=底×高÷2}
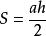
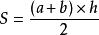
面積梯形: {梯形面積=(上底+下底)×高÷2}
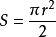
面積圓形(正圓): {圓形(正圓)面積=圓周率×半徑×半徑}
面積圓環: {圓形(外環)面積={圓周率×(外環半徑^2-內環半徑^2)}
面積扇形: {圓形(扇形)面積=圓周率×半徑×半徑×扇形角度/360}
面積長方體表面積: {長方體表面積=(長×寬+長×高+寬×高)×2}
面積正方體表面積: {正方體表面積=棱長×棱長×6}
面積球體(正球)表面積: {球體(正球)表面積=圓周率×半徑×半徑×4}
面積橢圓 (其中π(圓周率,a,b分別是橢圓的長半軸,短半軸的長).
面積半圓: (半圓形的面積公式=圓周率×半徑的平方÷2)
面積換算表
| 平方公里 sq.km. | 公畝 a. | 平方米 sq.m | 平方英尺 sq.ft. | 平方英寸 sq.in. | 平方英里 sq.mi. | 平方碼 sq.yd | 英畝 a. |
| 1 | 10000 | - | - | - | 0.386116 | - | 247.114 |
| 0.0001 | 1 | 100 | 1076.42 | 155005 | 0.000038 | 119.603 | 0.024711 |
| 0.000001 | 0.01 | 1 | 10.7642 | 1550.05 | - | 1.19603 | 0.000247 |
| - | 0.000092 | 0.092899 | 1 | 144 | - | 0.111111 | 0.000022 |
| - | 0.000006 | 0.000645 | 0.006944 | 1 | - | 0.000771 | - |
| 2.58988 | 25898.8 | - | - | - | 1 | - | 640 |
| - | 0.00836 | 0.836096 | 9 | 1296 | - | 1 | 0.000206 |
| 0.004046 | 40.4671 | 4046.71 | 43560 | - | 0.001562 | 4840 | 1 |
建築
居住面積
住宅的居住面積是指住宅建築各層平面中直接供住戶生活的居室淨面積之和。所謂淨面積就是要除去牆、柱等建築構件所占的水平面積。
套內面積和實用面積
套內建築面積與使用面積不是一個概念,套內建築面積包括使用面積和套內牆體面積,您可以自己測量房屋的實際使用面積,即俗稱地毯面積。
使用面積
住宅的使用面積,指住宅各層平面中直接供住戶生活使用的淨面積之和。計算住宅使用面積,可以比較直觀地反映住宅的使用狀況,但在住宅買賣中一般不採用使用面積來計算價格。
計算使用面積時有一些特殊規定:躍層式住宅中的戶內樓梯按自然層數的面積總和計入使用面積;不包含在結構面積內的煙囪、通風道、管道井均計入使用面積;內牆面裝修厚度計入使用面積。
建築面積
住宅的建築面積是指建築物外牆外圍所圍成空間的水平面積,如果求多、高層住宅的建築面積,則是各層建築面積之和。建築面積的計算比較複雜,以下將單獨介紹一。
住宅的公用面積
住宅的公用面積是指住宅樓內為住戶出入方便,正常交往,保障生活所設定的公共走廊、樓梯、電梯間、水箱間等所占面積的總和。
面積平分線
對三角形面積進行平分的線條無窮無盡。 其中三個是三角形的中位數(將兩邊的中點連線到相反的頂點),並且它們在三角形的重心處並發; 事實上,他們是唯一通過重心的面積平分線。 通過三角形將三角形面積和周邊分成兩半的任何線條都可以穿過三角形的入口(其圓周的中心)。 對於任何給定的三角形,它們中有一個,兩個或三個。
任何通過平行四邊形中點的線將該面積平分。
圓或其他橢圓的所有面積平分線穿過中心,任何通過中心的和弦將面積平分。 在圓的情況下,它們是圓的直徑。

