定義
超複數
超複數
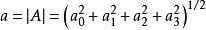
超複數定義1 是一個 超複數, 稱為A的模; 稱為A的第一,第二和第三維虛單位 。
相關性質
超複數
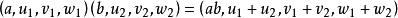
超複數定義2(超複數相等)設兩個超複數 和 ,
超複數(1) ;
超複數(2) 為實數。
超複數定義3(共軛超複數)設超複數 是A的 共軛超複數。
超複數
超複數
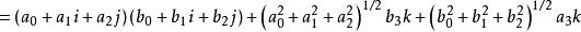
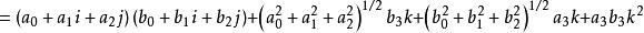
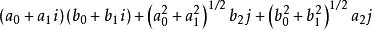
超複數定義4(乘法法則)兩個超複數 和 的積
超複數
超複數
超複數
超複數
超複數
超複數
超複數
超複數
超複數
超複數(即常規複數乘積)。
超複數的三角表示式
超複數
超複數設超複數 稱 為A的第一,第二和第三角。
超複數
超複數若干結果
超複數設兩超複數
超複數
超複數
超複數實數m,則
超複數(1)。
超複數(2)。
超複數(3)。
超複數(4)。
超複數
超複數(5) 設超複數 的共軛超複數,則
超複數
超複數是的 共軛超複數。
超複數(約定為A的n次乘積)。
超複數
超複數
超複數(6) 設超複數為實數,則是的共軛超複數 。

