基本介紹
曲面面積設空間有界曲面 為
曲面面積
曲面面積
曲面面積
曲面面積
曲面面積
曲面面積
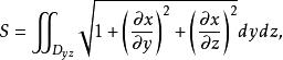
曲面面積其中 是 在 面上的投影區域, 在 上具有連續的偏導數,下面討論曲面的面積的計算問題。
曲面面積
曲面面積
曲面面積
曲面面積
曲面面積
曲面面積
曲面面積
曲面面積
曲面面積
曲面面積
曲面面積
曲面面積
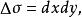
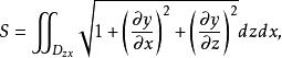
曲面面積現用平行於x軸和y軸的兩組平行直線分割投影區域 ,如圖1所示,任取其中的一塊記作 ,其面積也記作 ,則當 的直徑很小時, 表示以 的邊界為準線,母線平行於z軸的柱面截得的曲面 上的那部分,設 是 上的任一點,根據條件,曲面 在點P處有切平面,則可用柱面截得切平面上的那一小片平面的面積dS近似地代替 的面積 ,則
曲面面積
曲面面積
曲面面積
曲面面積
曲面面積
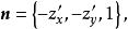
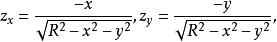
曲面面積其中, 是切平面與 面的夾角,也就是切平面的法向量 n與 面的法線 軸的夾角,由曲面 的方程可知
曲面面積所以
曲面面積代人式(1)得
曲面面積則曲面的面積微元為
曲面面積
曲面面積將dS在投影區域 上積分,便得計算曲面面積的二重積分公式
曲面面積
曲面面積
曲面面積
曲面面積
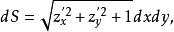
曲面面積如果所求曲面的方程用 或 表示比較方便,則同理可將曲面分別投影到 面或 面,類似地可得相應曲面的面積計算公式,分別為
曲面面積或
曲面面積
曲面面積
曲面面積其中, 分別為曲面 在yOz面或zOx面上的投影區域。
例題解析
曲面面積
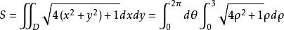
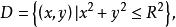
曲面面積例1 證明球面 的表面積為。
曲面面積解: 由對稱性,取上半球面方程為 ,它在xOy面上的投影區域為
曲面面積
曲面面積由式(2)得
曲面面積
曲面面積
曲面面積
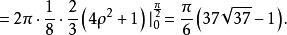
曲面面積例2 求拋物面位於之間的那一部分的面積。
曲面面積解: 曲面在xOy面上的投影區域,由式(2),得
曲面面積
曲面面積
