固結度
固結度是表征土的固結程度,是指飽和土層或土樣在某一級荷載下的固結過程中某一時刻孔隙水壓力平均消散值或壓縮量與初始孔隙水壓力或最終壓縮量的比值,以百分率表示。通俗的講就是:某一時刻的壓縮量與最終壓縮量之比,在科學上很難解釋。
固結係數是隨荷載變化而變的,固結度還與時間因素有關。
黃文熙先生主編的《土的工程性質》一書上有理論介紹。
固結度計算辦法
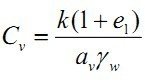
固結度計算固結係數的公式為:
其中k滲透係數,e為孔隙比,α為壓縮係數,γw為水的比重。壓縮係數α有不同壓力間的值,如50kPa~100kPa~200kPa~300kPa,可分別表示為α0.50~1,α1~2,α2~3等,不同壓力間的壓縮係數肯定是不同的。那么固結係數是否也應該取不同壓力間壓縮係數來計算固結係數的值呢?我的理解應該取α1~2間的值來計算固結係數,因為是以壓力為100kPa~200kPa間的壓縮係數α1~2的值來評價土的壓縮性的。
從固結度的計算公式可以看出,固結度是時間因數的函式,時間因數 Tv 越大,
固結度 Ut 越大,土層的沉降越接近於最終沉降量。從時間因數的各個因子可清楚地得出以
下的一些關係:(1)滲透係數 k 越大,Tv 越大,土越易固結,因為孔隙水易排出; (2)av 越
小,即土的壓縮性越小,Tv 越大,越易固結,因為土骨架發生較小的壓縮變形即能分擔較
大的外荷載,因此孔隙體積無需變化太大(不需排較多的水) ;(3)時間t 越長,固結越充分;
(4)滲流路徑 H越大,Tv 越小,孔隙水越難排出土層,越難固結。
有關固結度及其套用主要掌握下列各點:
(1)土層平均固結度定義為土層孔隙水應力平均消散程度。它與固結應力的大小無關,
但與固結應力分布有關,是時間因數 Tv 的單值函式。
(2)土層平均固結度還可用下式表示,即 Ut=St / S。其中 St 為任一時刻基礎的沉降量,S
為基礎的最終沉降量。
(3)在使用時應注意,若為一面排水,則 H 等於土層厚度;若為兩面排水,則均查α=1
的情況,此時 H等於土層厚度的一半。
特別聲明
以上內容選自《土力學學習指導書與習題》(白冰)

