人物簡介
勒讓德出身於一個富裕家庭,就讀於巴黎的馬扎林(Maza-rin)學院.他受過科學教育,特別是數學方面的高等教育.他的數學老師 J.F.M.阿貝(Abbè)是一個小有名氣並且在宮庭中受到尊敬的數學家.1770年勒讓德18歲時,就在阿貝的主持下通過了數學和物理方面的畢業論文答辯.他的經濟條件足以使他全力以赴地從事科學研究工作.但儘管如此,他還是在1775年到1780年在巴黎的軍事學校教過數學.他的研究工作受到科學界的注意,並在1782年獲得柏林科學院的獎勵.1783年3月30日,他取代 P.S.拉普拉斯(Laplace)作為一名力學副研究員被選進科學院,1785年被提升為合作院士.
1787年,他被科學院指派擔任巴黎和格林尼治天文台聯合進行的大地測量工作,並參加了皇家學會.1790年前後,與一位19歲的姑娘瑪格麗特·庫塞(Marguerite Couhin)結婚.1791年4月13日,他被任命為一個三人委員會的委員,設定該委員會的目的是解決為確立標準米而進行的天文運算和三角測量問題.1793年科學院被查禁,他一度被迫隱居,由他的年輕妻子幫助他創造了一個安靜的環境繼續從事研究工作.他們一直沒有子女.
1794年,巴黎行政區的公眾教育委員會任命勒讓德為馬拉(de Marat)專科學校的純粹數學教授.不久該校解散,他又擔任公眾教育國家執行委員會第一辦公室主任,領導處理度量衡、發明創造以及對科學工作者的獎勵等事宜,不久成為該委員會的高級秘書.1799年,他繼拉普拉斯之後在巴黎綜合工科學校擔任研究生答辯的數學主考人,1815年辭職,得到一筆3000法郎的養老金.1813年,J.L.拉格朗日(Lagrange)去世,由勒讓德取代了他在經度局的位置,並在那裡終其餘生.
人物生平
勒讓德(Adrien Marie Legendre 1752~1833)
法國數學家。1752年9月18日生於巴黎 ,1833 年1月10日卒於同地。1770 年畢業於馬薩林學院 。1782 年以外彈道方面的論文獲柏林科學院獎。1783年被選為巴黎科學院助理院士,兩年後升為院士。1795年當選為法蘭西研究院常任院士。在擔任了三年拉普拉斯的教學助手後,作為繼任者,出任巴黎高等師範學院的數學教授。1813年繼任拉格朗日在天文事務所的職位。
勒讓德的主要研究領域是分析學(尤其是橢圓積分理論)、數論、初等幾何與天體力學,取得了許多成果,導致了一系列重要理論的誕生。勒讓德是橢圓積分理論奠基人之一。在歐拉提出橢圓積分加法定理後的40年中,他是僅有的在這一領域提供重大新結果的數學家。但他未能像N.H.阿貝爾和C.G.J.雅可比那樣洞察到關鍵在於考察橢圓積分的反函式 ,即橢圓函式。在關於天文學的研究中,勒讓德引進了著名的“勒讓德多項式” ,發現了它的許多性質 。他還研究了B函式和Γ函式,得到了Γ函式的倍量公式。他陳述了最小二乘法,提出了關於二次變分的“勒讓德條件”。
生平小傳
勒讓德生平
勒讓德是數學教科書中經常出現的名詞,如勒讓德多項式,勒讓德變換。他的名字已列入巴黎艾菲爾鐵塔內科學名人紀念名單中。下面摘錄一些網上的有關資料。
勒讓德,A.-M. Adrien-Marie Legendre (1752~1833)
法國數學家。1752年9月18日生於巴黎,1833年1月10日卒於巴黎。1770年畢業於馬薩林學院。
1782年以外彈道方面的論文獲柏林科學院獎。1783年被選為巴黎科學院助理院士,兩年後升為院士。他對歐幾里得平行線公設進行了近20年的研究,試圖證明這一“公設”.1795年當選為法蘭西研究院常任院士。1813年繼任 J.-L.拉格朗日在天文事務所的職位,直至1833年去世。
勒讓德的主要研究領域是分析學(尤其是橢圓積分理論)、數論、初等幾何與天體力學。第一版出版於1792年,他在這些領域中解決了不少問題,取得了許多成果,導致了一系列重要理論的誕生。歸納出了素數分布律。
勒讓德是橢圓積分理論奠基人之一。從1786年起,他就這一課題寫了大量論著,包括《積分學演習》(3卷),但證明不夠完整。《橢圓函式論》(2卷)。他已概述了這一定理及其套用,他在這方面的主要貢獻是:提出三類基本的橢圓積分;證明每個橢圓積分可以表示為這三類積分的組合;編制詳盡的橢圓積分數值表。
在L.歐拉提出橢圓積分加法定理後的40年中,他是僅有的在這一領域提供重大新結果的數學家。勒讓德對數論的主要貢獻是二次互反律,但他未能像N.H.阿貝爾和C.G.J.雅可比那樣洞察到關鍵在於考察橢圓積分的反函式,提出了關於二次變分的“勒讓德條件”,即橢圓函式。
在關於行星形狀和球體引力的研究中,勒讓德引進了著名的“勒讓德多項式”,發現了它的許多性質。他還研究了Β函式和Γ函式(他把這兩個函式分別稱為第一類和第二類歐拉積分),得到了 Γ函式的倍量公式。
在關於行星形狀和球體引力的研究中,他陳述了最小二乘法,提出了關於二次變分的“勒讓德條件”。
勒讓德對數論的主要貢獻是二次互反律,這是同餘式論中的一條基本定理。在.歐拉提出橢圓積分加法定理後的40年中,早在1785年,他已概述了這一定理及其套用,《橢圓函式論》(2卷)。但證明不夠完整。包括《積分學演習》(3卷)。1823年,他對費馬大定理中n=5的情形(即方程x5+y5=z5沒有整數解)提出了一個完滿的證明。他還是解析數論的先驅者之一,歸納出了素數分布律,促使許多數學家研究這個問題。
勒讓德的《幾何學原理》,第一版出版於1792年,是將近一個世紀中初等幾何的權威教科書,再版多次,並有多種語言的譯本。他對歐幾里得平行線公設進行了近20年的研究。兩年後升為院士。試圖“證明”這一公設,當然每次證明中都隱含著漏洞。但在研究過程中,他也得到了一些重要定理。(作者:李炳仁)
主要貢獻
勒讓德在數學方面的貢獻,首先表現在橢圓函式論.有許多理由足以說明他是橢圓函式論的奠基人.在他之前,C.麥克勞林(Maclaurin)和 J.R.達朗貝爾(d'Alembert)曾研究過可以用橢圓或雙曲線的弧表示的積分.G.C.法尼亞諾(Fagnano)在1716年曾證明,對任意給定的橢圓或雙曲線,可以用無窮多種方法指定兩條弧,使得其差等於一個代數量.
他還證明過,伯努利雙紐線(x+y)=a(x-y)的弧能夠像圓弧那樣被代數地加以乘、除.這是橢圓積分簡單套用的第一個說明.這一積分被勒讓德記作F(x),他認為用它可以決定所有其他的積分.從法尼亞諾的研究出發,L.歐拉(Euler)著手處理更一般的橢圓積分,並得出了第一類和第二類橢圓積分的加法定理.1768年,拉格朗日把歐拉的發現納入通常的分析程式.
1775年,J.蘭登(Landen)又證明了雙曲線的每一條弧能夠用一個橢圓的兩條弧來度量.
1786年,勒讓德出版了他的關於橢圓弧的積分的著作.其中第一部分是在他知道蘭登的發現之前就已寫出的.他避免套用雙曲線的弧,而採用作一個適當構造的橢圓弧的表的辦法來代替.
他給出蘭登定理的一個新的解釋,並且用同一方法證明了每一個給定的橢圓是一個無限多的橢圓序列的一部分.求出兩個任意選定的橢圓的周長,就可以求得所有其他橢圓的周長.有了這條定理,就有可能把一個給定橢圓的求長問題化成兩個其他的和圓相差任意小的橢圓的求長問題.
不過,這一課題及一般形式的超橢圓函式理論,需要更系統的處理.這正是勒讓德在他的“關於橢圓超越性的論文”(Mémoire sur les transcendantes elliptiques,1793)一文中所提供的.他提出對這一類型的所有函式應進行比較,將其區別歸類,把每一個變成可能的最簡形式,並利用最容易、最快速的近似法對其求值,進而作為一個整體從理論上建立一個算法系統.
勒讓德勒讓德後來的研究,從幾個方面完成了這一理論.1809年,他發表了“各種不同定義的積分的研究”(Recherches sur diverses sortes d’intégrales difinies)一文,繼續從事對歐拉積分(這一術語是勒讓德給出的),特別是對Г函式的研究.1811年,勒讓德在《積分練習》(Exercices de calcul intégral) 一書中,進一步給出了三角表示理論,令
勒讓德
勒讓德
勒讓德
勒讓德
勒讓德
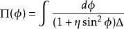
勒讓德其中0≤c≤1,勒讓德稱c為函式的模。積分限從0到 , 稱為函式的幅角; 是模的補. 最簡單的超橢圓函式是第一類積分 . 第二類積分由長軸I和離心率c的橢圓弧表出,形式為 . 第三類積分為 ,其中η為參數.
每一個橢圓積分可被表示為這三種超越類型的一個組合.
勒讓德
勒讓德設 和 是由下面微分方程聯繫的兩個變數:
勒讓德
勒讓德
勒讓德方程的積分為F( )+F( )=F(μ),μ是任意常數,歐拉定理指出:
勒讓德
勒讓德
勒讓德因此,μ可以用代數方法求出,使得F( )+F( )=F(μ),從而F(μ)可以被一個任意常數(整數或有理數)相乘.經過這樣的研究,勒讓德對三種類型的積分中的每一種都導出了許多結果.
勒讓德
勒讓德
勒讓德
勒讓德
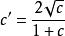
勒讓德勒讓德還進一步把第一類積分記為F(c, ),其中c為模, 為幅角.根據蘭登定理,他建立了一種變換,後來稱之為二次變換,即如果 ,且 ,那么 ,通過反覆使用這種變換,勒讓德建立了橢圓函式表,於1817年公開發表.
1826年,勒讓德又出版了《橢圓函式論》(Traité des foncti-ons elliptiques),在第二卷中列有9張這種表.
勒讓德最後一張表是函式F和E的一般化數表。其中幅角從1°到60°,模θ(sinθ=c)的值在小於45° 時取10位小數,在45°至 90° 之間時,取9位小數.他曾寫信給 C.G.J.雅可比(Jacobi),說他在無任何外力幫助的情況下致力於如此冗長而乏味的工作,但卻樂此不疲,並認為這一工作的重要性完全可以和 H.布里格斯(Briggs)的對數表媲美.
研究內容
勒讓德1827年,雅可比也開始研究橢圓函式.他寫信把自己的和N.H.阿貝爾(Abel)的發現告訴給勒讓德.面對年輕對手的挑戰,勒讓德的態度是非常熱心和直率的.他在《橢圓函式論》第3卷的序言中讚揚了這位“柯尼斯堡的年輕幾何學家”以及阿貝爾.後來又發表了《橢圓函式論》的3個附錄.前兩個主要介紹了雅可比的工作,也提到阿貝爾,其中包括橢圓函式和勒讓德積分的反函式.
勒讓德以其慣有的略嫌冗長的模式討論了將橢圓函式推廣到複數域和雙周期.附錄三主要討論阿貝爾的工作和他的大定理.1832年3月4日,勒讓德總吉他的工作說:“我們僅接觸到這一課題的表面.可以預言它將隨數學家的工作而日趨成熟,最終將構成超越函式分析中的一個最漂亮的部分.”
數論是勒讓德特別關注的第二個重要領域.早在1785年,他所發表的“不定分析的研究”(Recherches d’analyse indétermi-née)一文中即載有二次剩餘互反律及其若干套用的一個說明,把數分解成三個平方數的理論的概述,還陳述了一條以後變得很有名的定理:“每一個首項和公比互素的算術級數中都含有無限多個素數.”1798年,他又發表了他的《數論隨筆》(Essai sur la théoriedes nombres)一書的第一版.他在這本書里,用更系統和更徹底的方法處理了“不定分析的研究”中的那些論題.該書是18世紀數論學科的主要著作之一.第二版以《數論》(Théorie des nom-bres)為名於1808年出版.在這一版的引言中,勒讓德提到要高度注意嚴密性,這一點是值得讚揚的.在這一版中,他利用和 P.de費馬(Fermat)的無窮遞減法有關的技巧證明了整數乘積的變換性.作為歐拉和拉格朗日的一個直接追隨者,勒讓德和他們一樣,經常使用連分數的算法,用來解一階不定方程,並用來證明費馬方程x-Ay=1 恆有一個整數解.以後他又給第二版增加了兩個附錄(1816,1825).第二個附錄中含有方程x+y=z不可能有整數解的一個漂亮的證明.接著就是對這條定理的更複雜情形的考察.該書第三版分成兩卷,於1830年5月問世.第三版發展了第一版中的內容,並添上一些在很大程度上受到 C.F.高斯(Gauss)影響的新思想.這一版特別有價值.它和高斯的《算術研究》(Disquisitiones Arithmeticae,1801)一起同為這門學科中的標準著作.
勒讓德還追隨拉格朗日研究過二次型,在某些方面得到了完善的結果.例如,他證明了每一個非8k+7型的奇數是三個平方數的和.在這一結果的基礎上,A.L.柯西(Cauchy)在1812年針對多項式數的情形證明了費馬定理.
勒讓德對數論的主要貢獻是提出二次剩餘的互反律.這是18世紀數論中最富於首創精神的可能引出最多成果的發現.1785年,他用一個冗長而不完善的說明提出這一定律.1801年,高斯對勒讓德的陳述進行了批評,並宣稱他是第一個能夠嚴格敘述這一命題的人.1808年,勒讓德採用了這位年輕的批評者所給出的證明.他發明了記號(p/q),令其等於1或-1,以表示p是q的二次剩餘或二次非剩餘.在這種記號下,二次互反律說,如果p和q是不同的奇素數,那末
(p/q)(q/p)=(-1).
1830年,他又把他認為是更好的雅可比的證明補充了進去.
作為一個非常熟練的計算工作者,勒讓德提出了有價值的數表.他編列了二次型的二次和一次的因子以及費馬方程x-Ay=±1的最小解.後一張表出版於1798年,並在1808年用一種更簡略的刪節本形式重印.
勒讓德勒讓德還是解析數論的先驅者.他在1798年提出了素數分布定律的初步形式,1808年又使其更加精確化,呈現為如下形式:如果y是小於
納法發現這一定律的.1793年,高斯由直覺看出了素數的漸近分布定律.但是,第一個明確給出這一條非凡定律的,還是勒讓德.
另一方面,勒讓德早在1785年便說明了在每一個算術級數 ax+b (此處,a、b是互素的)之中,有無窮多個素數。他甚至詳細說明過,在把 ∮(a) 個互素於a並小於a的值給予 b[∮(a)是歐拉指標數] 以後,這些素數幾乎相等地分布在∮(a)個不同的級數中。
對數論研究開闢了一個十分廣闊的園地之後,勒讓德在1830年又試圖闡述阿貝爾的關於方程代數解的概念.勒讓德認為,他已令人信服地證明了對於高於四次的方程來說,求得一般的解是不可能的.他還對研究方程的數值解法表示過興趣,特別是研究過根的分離和把它們展開成連分數.1808年,他提出了關於代數基本定理的證明,與 J.R.阿爾岡(Argand)在1806年給出的證明十分類似.
在他的《幾何學原理》(Eléments de géométrie,1794)的附註4(發表於該書的第一版)中,勒讓德利用連分數的算法建立了蘭伯特定理(1761):圓的周長和直徑的比是一個無理數.他改進了這一結果,證明了這個比的平方也是一個無理數,並補充說:“很可能數π甚至不包含在代數無理數中,但是要嚴格說明這個命題似乎是非常困難的.”
在他整個一生中,勒讓德都對數論有著極大的興趣.他非常了解這個題目的困難.因此在他最後的幾年當中,經歷了一個對它不再抱希望的過程.例如,他在1828年寫信給雅可比說:“我打算奉勸你不要化太多的時間去研究這類問題;它們是非常困難的,而且往往是毫無成效的.”
天體力學是勒讓德在他早年科學研究生涯中關心過的另一個領域.他年輕時曾從事關於星球的相互吸引問題和它們的平衡方式的研究.1783年1月,他在科學院宣讀過一篇關於這一問題的論文,該文發表在《外國博學者文集》(Recueil des savants étran- gers,1785)一書中.他在這篇文章中證明了一條定理:如果旋轉體對位於軸的延長線上每一外點的引力為已知,則它對每一外部點的引力也可求得。文章中出現了我們現在所謂的勒讓德多項式.對這一多項式的研究引起了以後一系列浩瀚的工作.
1784年7月,勒讓德在科學院宣讀了“關於行星形狀的研究”(Recherches sur la figure des planètes).他在此文中推導出勒讓德多項式的一些性質,並將這些性質和其他性質運用到萬有引力的問題上.此後不久,他又發表了“關於地球形狀結果的三角運算”(Mémoire sur les opérations trigonomètriques dont les résultats dépendent de la figure de la terre).在這篇文章中有一個關於球面三角的“勒讓德定理”:
“當一個(球面)三角形的邊相對球半徑是很小的時候,它非常近似於一個直線三角形.如果從它的每一個角中減去這三個角之和與二直角(之和)之差的三分之一,則按這一方式所得的角可以被看作是一個直線三角形的角,這個三角形和已知三角形有相等的邊長.”
1790年,勒讓德發表了“論重積分”(Mémoire sur les inté-grales doubles)一文.他在這篇文章里完成了他關於球體吸引的分析、包括對非均勻球體情形的研究,以及某些微分方程的特殊積分的探討.
18世紀末,由R.de普隆尼(Prony)領導的法國勘測局編制了三張數學用表,即:按一直角的每千分之十度計算角的餘弦,精確到小數第22位;按一直角的每千分之一百度計算正弦的對數,精確到小數第12位;以及從1到200 000各個數的對數,也是精確到小數第12位.這項工作由以勒讓德為首的分析學家們組成的一個小組進行準備,勒讓德設計了一些新的公式用以確定正弦的相繼的差,並根據一些恆等式對計算出來的結果相互驗證.1802年,勒讓德寫道:“這三張表是用新方法計算出來的,主要是基於差分演算的方法,它們是樹立於科學事業中最出色的紀念碑之一.”這些手抄表的抄本被收存在經度局中.有一篇解釋性的文章發表在《專科學校論文集》(Mémoires de l'Institut,1801)里.
還有一個重要領域是勒讓德的著作中所涉及到的,即初等幾何——特別是平行線理論.他在這方面的著作《幾何學原理》多次再版並被翻譯成英文、德文、羅馬尼亞文,支配了這門課程的初等教育幾乎達一個世紀.附於書中的詳細注釋至今尚有一定的價值.1793年,公眾教育委員會又委託他和拉格朗日合寫了一本題為《微分學和幾何學原理》(Eléments de calcul et de géométrie)的教材.《幾何學原理》中的教義式的表述,標誌著法國在很大程度上對歐幾里得的迷信.在非歐幾何學家為了使他們的概念被公眾接受所作的鬥爭中,這本書倍受責難.1832年,勒讓德曾回憶起他在1794年至1823年為證明歐幾里得平行公理所作的種種努力,他本人從未認識到這一切都是徒勞的.實際上,在他的一個似乎是無可挑剔的證明中,可以找到一個謬誤.正如I.牛頓(New-ton)的眾多信徒一樣,勒讓德也篤信絕對空間和直線三角形邊的“絕對的量”.遵循拉格朗日在《都靈雜錄》(Mémoires de Turin,1761)中所提出的倍受青睞的“量的齊次性法則”,勒讓德在1794年建立了三角形的內角和定理.假若給定三角形的一條邊a和該邊的兩個鄰角B,C,則此三角形可以唯一確定.第三個角A應為已知各量的函式:A=∮(B,C,a),但A,B,C是純粹數量,a是長度。視a為未知量,解方程A=∮(B,C,a),所得的解為a=f (A,B,C)。
勒讓德 認為:“這一結果說明一條邊a可以等於一個沒有維數的純粹數量,這是荒謬的.”量的齊次性法則必然使得這個長度在一開始就不能在公式中出現,因此有A = ∮(B,C)。再考慮到直角三角形和它的頂垂線,便容易得到A+B+C=π.
直到生命的結束,勒讓德從不懷疑這一推理的價值.失敗的原因是他在最後的分析中總是依賴那些按歐幾里得的觀點看來是“顯然”的命題.例如:凹向相反的兩條凸周線必在有限遠處相交;在一個角的內部總可作出一條直線使其與角的兩邊相交;過不共線的三個點總可以作出一個圓.他在球面幾何和球面三角方面的鑑別力並沒有使他消除對絕對歐氏空間的盲目信任.他在1832年寫道:“這條關於三角形的三個角的和的定理應該認為是那些基本真理之一.這些真理是不容爭論的,它們是數學永恆真理的不朽的例子.”
勒讓德的科學活動從大約1770年起到1832年止,在18和19世紀各從事了30年.他是拉格朗日的一位傑出的門徒,也超過了歐拉的所有弟子.他和當時其他數學家一樣,既處理抽象數學,也研究數學在宇宙系統中的套用.他的著作是過渡性的,很快就陳舊了.但儘管如此,他仍是一位不平凡的計算工作者,一位熟練的分析學家,而且總的說來,是一位優秀的數學家,特別在橢圓函式論和數論方面做出了傑出的貢獻。
“3L”
法國18世紀後期到19世紀初數學界著名的三個人物:勒讓德(Adrien-marie Legendre)、拉格朗日(Joseph Louis Lagrange)和拉普拉斯(Pierre-simon Laplace)三個人的姓氏的第一個字母為“L”,又生活在同一時代,所以人們稱他們為“三L”。他們為18世紀末19世紀初法國數學的復興做出重要貢獻,並曾擔任眾多的官方職務。
肖像爭議
肖像錯誤
直到2009年,人們才發現數學史的相關書籍中大量引用的勒讓德側面像(題圖)不是數學家勒讓德,而是另一個不太出名的法國政治家Louis Legendre(1752-1797)

