簡介
衍射,又稱 繞射,是指波遇到障礙物時偏離原來直線傳播的物理現象。
在經典物理學中,波在穿過狹縫、小孔或圓盤之類的障礙物後會發生不同程度的彎散傳播。假設將一個障礙物置放在光源和觀察屏之間,則會有光亮區域與陰暗區域出現於觀察屏,而且這些區域的邊界並不銳利,是一種明暗相間的複雜圖樣。這現象稱為衍射,當波在其傳播路徑上遇到障礙物時,都有可能發生這種現象。除此之外,當光波穿過折射率不均勻的介質時,或當聲波穿過聲阻抗不均勻的介質時,也會發生類似的效應。在一定條件下,不僅水波、光波能夠產生肉眼可見的衍射現象,其他類型的電磁波(例如X射線和無線電波等)也能夠發生衍射。由於原子尺度的實際物體具有類似波的性質,它們也會表現出衍射現象,可以通過量子力學進行研究其性質。
在適當情況下,任何波都具有衍射的固有性質。然而,不同情況中波發生衍射的程度有所不同。如果障礙物具有多個密集分布的孔隙,就會造成較為複雜的衍射強度分布圖樣。這是因為波的不同部分以不同的路徑傳播到觀察者的位置,發生波疊加而形成的現象。
衍射的形式論還可以用來描述有限波(量度為有限尺寸的波)在自由空間的傳播情況。例如,雷射束的發散性質、雷達天線的波束形狀以及超音波感測器的視野範圍都可以利用衍射方程來加以分析。
研究歷史
光的衍射效應最早是由弗朗西斯科·格里馬第(Francesco Grimaldi)於1665年發現並加以描述,他也是“衍射”一詞的創始人。這個詞源於拉丁語辭彙diffringere,意為“成為碎片”,即波原來的傳播方向被“打碎”、彎散至不同的方向。格里馬第觀察到的現象直到1665年才被發表,這時他已經去世。他提出
“光不僅會沿直線傳播、折射和反射,還能夠以第四種方式傳播,即通過衍射的形式傳播。”("Propositio I. Lumen propagatur seu diffunditur non solum directe, refracte, ac reflexe, sed etiam alio quodam quarto modo, diffracte.")
英國科學家艾薩克·牛頓對這些現象進行了研究,他認為光線發生了彎曲,並認為光是由粒子構成。在19世紀以前,由於牛頓在學界的權威,光微粒說在很長一段時間占有主流位置。這樣的情況直到19世紀幾項理論和實驗結果的發表,才得以改變。1803年,托馬斯·楊進行了一項非常著名的實驗,這項實驗展示了兩條緊密相鄰的狹縫造成的干涉現象,後人稱之為“雙縫實驗”。在這個實驗中,一束光照射到具有緊挨的兩條狹縫的遮光擋板上,當光穿過狹縫並照射到擋板後面的觀察屏上,可以產生明暗相間的條紋。他把這歸因於光束通過兩條狹縫後衍射產生的干涉現象,並進一步推測光一定具有波動的性質。奧古斯丁·菲涅耳則對衍射做了更多權威的計算研究,他的結果分別於1815年和1818年被發表,他提到“這樣,我就展示了人們能夠通過何種方式來構想光以球面波連續不斷地傳播出去……”("J'ai donc montré de quelle façon l'on peut concevoir que la lumière s'étend successivement par des ondes sphériques, ...")。
法國科學院曾經舉辦了一個關於衍射問題的有獎辯論會,菲涅耳贏得了這次辯論。作為反對光波動說的其中一位,西莫恩·德尼·泊松提出,如果菲涅耳聲稱的結論是正確的,那么當光射向一個球的時候,將會在球後面陰影區域的中心找到亮斑。結果,評審委員會安排了上述實驗,並發現了位於陰影區域中心的亮斑(它後來被稱作泊松光斑)。這個發現極大地支持了菲涅耳的理論。他的研究為克里斯蒂安·惠更斯發展的光的波動理論提供了很大的支持。他與楊的理論共同反駁了牛頓關於光是粒子的理論。
在對衍射現象的探索過程中,人們也不斷積累了對於衍射光柵的認識。17世紀,蘇格蘭數學家、天文學家詹姆斯·格雷戈里(James Gregory)在鳥的羽毛縫間觀察到了陽光的衍射現象。他是第一個發衍射光柵原理的科學家。在1673年5月13日他寫給約翰·科林斯(John Colins)的一封信中提到了此發現。;1786年,美國天文學家戴維·里滕豪斯用螺絲和細線第一次人工製成了衍射光柵,細線的密度達到每英寸100線,他用這個裝置成功地看到了陽光的衍射。1821年,約瑟夫·夫琅禾費利用相似的裝置(每厘米127線)證明了托馬斯·楊關於衍射的公式(參見段落下方),並對衍射進行了許多重要研究。1867年,劉易斯·盧瑟福(Lewis Morris Rutherfurd)採用水輪機作為動力進行刻線、製作光柵。後來的亨利·奧古斯塔斯·羅蘭改良了光柵的刻劃技術,並在1882年發明了在凹形球面鏡上進行刻劃的凹面光柵。其後的羅伯特·伍德(Robert William Wood)改進了光柵的刻劃形狀,從而提高了光柵的衍射效率。近代的阿爾伯特·邁克耳孫提出利用干涉伺服系統控制光柵的刻划過程,於1948年實現了這一想法。20世紀下半葉,由於雷射、光刻膠等新技術的出現,光柵製造技術取得很大的進步,製造成本顯著降低,製造周期也得以縮短。
物理機制
光波(或其他波)傳播的路徑不同,可能造成衍射現象的發生。可以用惠更斯-菲涅耳原理和波的疊加原理對現象進行描述。這個理論認為,可以把波前的每一點考慮為次波(球面波)的點波源,這些次波就是後續時刻的波面。這個原理最早由惠更斯於17世紀提出,不過他並未慮及波的時空周期性(他認為光是一種非周期性的、無規則的脈衝)。fact|1818年左右,菲涅耳在巴黎科學院關於解釋衍射現象的有獎競賽中,吸收了惠更斯“次波”的思想,並加入了他對於干涉現象的理解,使上述理論得以發展和完善。後人將這個理論稱為“惠更斯-菲涅耳原理”。根據這一理論,任意後續位置的波位移等於這些次波求和。求和並非簡單的代數和,而必須慮及這些波各自的相對相位以及振幅。因此,它們疊加之後的振幅範圍介於0(相互完全抵消)和所有次波振幅的代數總和之間。我們可以通過光學實驗,觀察到光波的衍射圖樣。光的衍射圖樣通常具有一系列明暗條紋(分別對應光波振幅的最大值和最小值)。
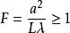
人們為了分析波的衍射現象,構造了許多數學模型,其中包括從波動方程推導出的菲涅耳-基爾霍夫衍射公式、夫琅禾費衍射模型以及菲涅耳衍射模型。設a為圓孔半徑或狹縫寬度,λ為入射波的波長,L為觀察屏距離圓孔、狹縫等衍射物體的距離,如果它們滿足
電磁波衍射我們就稱其為菲涅耳衍射,它是衍射的近場近似;
如果它們滿足
電磁波衍射我們就稱其為夫琅禾費衍射,它是衍射的遠場近似。
大多數情況,獲得衍射方程的嚴格解析解較為困難,可以通過有限元分析和邊界元分析方法來求得數值解。實際的衍射過程通常很複雜,不過,如果能夠將實際情況簡化到二維平面上,則對於衍射的數學描述將變得相對簡單。例如,水波就可以近似地看做是分布在二維平面上的機械波。而對於光波,如果它遇到的衍射物體在某一個方向的尺度遠大於光的波長,從而造成這個方向的衍射現象不顯著,那么,在分析計算時可以將其忽略,這樣做並不會嚴重影響分析結果。例如,狹縫問題就可以簡化到二維的情況,這是因為其沿著縫隙方向的長度和入射光波長相差甚遠,因此我們只需考慮它寬度和厚度這兩個方向。然而,當我們考慮入射光穿過圓孔時,則必須完整地考慮其三維方向光的傳播細節。
套用
光的衍射在現代科技中,能夠對某些特微結構起到放大的作用,積極運用光譜分析和結構測定,都能在相關光源成像系統下進一步完善衍射研究,主要突出在以下幾個方向:
1.廣泛開發光譜分析,如衍射光柵光譜儀等。
2.製造工藝上,應全面推廣全息光柵和閃耀光柵,提高利用光能量的效率。
3.大力推行衍射成像,如衍射成像分辨儀器等。
4.空間濾波技術和光學信息處理技術的開發,包括全息影像技術的改革最佳化。
5.最佳化衍射結構分析,如X射線結構分析等。
人們從認識光學的衍射現象,到掌握並利用衍射現象已經過去了200多年,光的衍射無時不在人們的周圍存在。當我們在夜晚抬頭仰望月亮或者觀看路燈時,長期觀看下能夠發現有放射形的光芒在散發,這就是光的衍射。試著調整我們的瞳孔,將眼睛眯小點,光的散射似乎會更明顯。今天的人們一定能夠在足夠掌握衍射原理的基礎上大力拓展其套用領域。

