簡介
磁光效應是光與具有磁矩的物質共同作用的產物。磁光效應主要有三種,即:法拉第效應、克爾效應、塞曼效應。在光學電流感測器領域,法拉第磁光效應的套用最為廣泛。光學電流感測器中磁光介質即磁光效應中具有磁矩的物質,是決定光學電流感測器性能的重要器件。具有磁矩的物質可以分為五大類,而在光學電流感測器領域,順磁性物質的套用最為廣泛。
1845年,法拉第發現:當一束平面偏振光通過置於磁場中的磁光介質時,平面偏振光的偏振面就會隨著平行於光線方向的磁場發生鏇轉。鏇轉的這個角度稱之為法拉第鏇轉角。
法拉第效應也稱磁致鏇光。在處於磁場中的均勻各向同性媒質內,線偏振光束沿磁場方向傳播時,振動面發生鏇轉的現象。1845年M.法拉第發現在強磁場中的玻璃產生這種效應,以後發現其他非鏇光的固、液、氣態物質都有這種效應。設磁感應強度為B,光在物質中經過的路徑長度為d,則振動面轉動的角度為
ψ=VBd, (1)
式中V稱為費爾德常數,與物質的性質、溫度以及光的頻率(波長)有關。在一定物質中不論光是沿磁場方向或逆磁場方向傳播,振動面的轉向都一樣,只由磁場方向決定。若轉向與磁場方向成右手螺鏇關係,該物質的V取為正值,即ψ>0。這樣,光來回傳播同樣距離後,其振動面的轉角等於單程轉角的兩倍。這是磁致鏇光與天然鏇光的區別(天然鏇光情形,在來回傳播同樣距離後振動面恢復原來方位)。
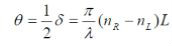
圖1法拉第效應與塞曼效應有密切聯繫。磁場影響物質分子(原子)中電子的運動,使無磁場時的一條吸收線對於平行於磁場方向傳播的入射光分裂為兩條,分別對應於右鏇和左鏇圓偏振光的吸收線,二者頻率略有不同(倒塞曼效應);而且對於這兩種圓偏振光又有分別對應的色散曲線。最簡單情形如圖a所示(面對磁場的指向觀察)。這時,物質對任一頻率的兩種圓偏振光有不同的折射率n+(左鏇)和n_(右鏇),從而入射的線偏振光的振動面在傳播中發生鏇轉,轉角為(圖1)
(2)
圖b中畫出n_-n+的曲線。可以看出,圖中在吸收線之外ψ>0,而在吸收線之間ψ<0;在吸收線區域及其附近,ψ值很大。由於吸收線的裂距2Δω正比於B,在遠離吸收線區域n_-n+也近似正比於B,故有式(1)。天然鏇光物質中發生磁致鏇光現象時,應考慮上述兩種效應的疊加。鐵磁物質表現出很強的法拉第效應。這時ψ決定於物質中的磁化強度而不是外加磁場。
發現
1845 年法拉第(Michal Faraday)發現當線偏振光(見光的偏振)在介質中傳播時,若在平行於光的傳播方向上加一強磁場,則光振動方向將發生偏轉,偏轉角度ψ與磁感應強度B和光穿越介質的長度l的乘積成正比,即ψ=VBl,比例係數V稱為費爾德常數,與介質性質及光波頻率有關。偏轉方向取決於介質性質和磁場方向。上述現象稱為法拉第效應或磁致鏇光效應。法拉第效應第一次顯示了光和電磁現象之間的聯繫。促進了對光本性的研究。之後費爾德(Verdet)對許多介質的磁致鏇轉進行了研究,發現法拉第效應在固體、液體和氣體中都存在。大部分物質的法拉第效應很弱,摻稀土離子玻璃的費爾德常數稍大。近年來研究的YIG等晶體的費爾德常數較大,從而大大提高了實用價值。
實驗原理
法拉第效應是磁場引起介質折射率變化而產生的鏇光現象,實驗結果表明,光在磁場的作用下通過介質時,光波偏振面轉過的角度(磁致鏇光角)與光在介質中通過的長度L及介質中磁感應強度在光傳播方向上的分量B成正比,即:
θ=VBL
式中V稱為費爾德常數,它表征物質的磁光特性。幾種材料的費爾德常數值如下表。
法拉第效應
法拉第效應法拉第效應實驗裝置如圖所示。由光源產生的複合白光通過小型單色儀後可以獲得波長在360~800nm的單色光,經過起偏鏡成為單色線偏振光,然後穿過電磁鐵。電磁鐵採用直流供電,中間磁路有通光孔,保證人射光與磁場B方向一致。根據勵磁電流的大小可以求得對應的磁場值。入射光穿過樣品後從電磁鐵的另一極穿出人射到檢偏器上,透過檢偏器的光進入光電倍增管,由數顯表顯示光電流的大小,即出射光強的大小。根據出射光強最大(或最小)時檢偏器的位置讀數即可得出鏇光角。檢偏器的角度位置讀數也由數顯表讀出。
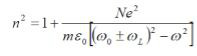
由經典電子論對色散的解釋可得出介質的折射率和入射光頻率w 的關係為:
法拉第效應式中ω是電子的固有頻率,磁場作用使電子固有頻率改變為(ω±ω)(ω是電子軌道在外磁場中的進動頻率)。使折射率變為:
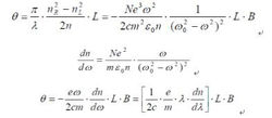
法拉第效應由菲涅耳的鏇光理論可知,平面偏振光可看成由兩個左、右鏇圓偏振迭加而成,上式中的正負號反映了這兩個圓偏振光折射率有差異,以R n 和L n 表示。它們通過長度為L的介質後產生的光程差為:
法拉第效應由它們合成的平面偏振光的磁致鏇光角為:
法拉第效應通常,n,n,和n,相差甚微,故
法拉第效應將此代入上式,又因ω≪ω可略去ω項,得:
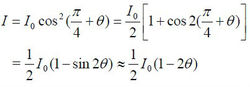
法拉第效應可見括弧項即為費爾德常數,表示V 值和介質在無磁場時的色散率、入射光波長等有關。由馬呂斯定律可知,平面偏振光通過磁場中的介質和檢偏器後的光強為:
法拉第效應α為檢偏器和起偏器透光軸的夾角,θ為法拉第磁致鏇光角。當α=π/4時,
法拉第效應若磁場變化則:
法拉第效應表示此時由檢偏器輸出的光強將隨產生磁場的電流i(調製電流)線性地變化,這就是光強度的磁光調製原理。在α=π/4時,dI/d= 1,即此時調製系統的信號檢測靈敏度最高,失真最小。
分類
描述物體磁性強弱程度的一個重要物理量是磁化強度矢量M,即單位體積內各個磁疇磁矩的矢量和。磁化強度M與磁場強度H的關係表示為:
M =χH式中 χ 為物體的磁化率。
按照物質磁化率 χ 的大小和符號、物質磁性來源和磁結構特性,物質磁性可分為抗磁性、順磁性、鐵磁性、反鐵磁性和亞鐵磁性五大類,下面分別簡述五大類磁性的基本特點。
① 抗磁性
物質由原子和分子組成。自由原子的磁矩有三個主要來源:一是電子的自鏇,二是電子繞原子核鏇轉的軌道角動量,三是電子在外加磁場中鏇轉所感生的軌道磁矩變化。第三個來源是產生抗磁性的原因,前兩個來源不同程度上對順磁性、鐵磁性、反鐵磁性和亞鐵磁性有所貢獻。可以看出,所有物質都存在第三個來源,因此抗磁性在所有物質中都存在。由於抗磁性極其微弱,故在具有其他磁性的物質中抗磁性常常被掩蓋。
抗磁性亦稱為逆磁性。電子在外磁場中運動所感生的磁矩,其方向與外磁場相反。
② 順磁性
物質具有順磁性的必要條件是組成物質的原子、分子或離子具有固有磁矩。但這些原子(分子或離子)磁矩之間相互作用十分微弱,在熱運動的影響下,基本上處於無序排列狀態;溫度越高,排列越無序。物質磁化以後,原子(分子或離子)磁矩就有沿外磁場方向排列的趨勢,外磁場越大,排列越趨整齊。由此可見,順磁性物質的磁化強度M 與外磁場 H ,方向相同,不過僅顯示微弱的磁性。
③ 鐵磁性
鐵磁性物質原子或離子的電子之間存在交換作用,這種相互作用十分強大,與其等效的“磁場”稱為分子場。如此大的分子場足以克服熱運動的影響,使原子(離子)磁矩相互平行排列(交換積分 A > 0)。隨著溫度的升高,熱運動漸趨劇烈,磁矩平行排列趨勢逐漸變弱,
但僅是量變過程。當溫度高於居里溫度即CT >T時,熱運動能大於交換作用能,從而導致原子(離子)磁矩混亂排列,此時鐵磁性轉變為順磁性。
鐵磁性物質是一類重要的磁性材料,其中有一些也是優良的磁光材料。
④ 反鐵磁性
絕大多數反鐵磁性物質,如 MnO 和 NiO 等都是導電性很差的化合物,其陽離子通常為過渡族金屬離子,近鄰配位離子為陰離子。金屬離子之間距離較大,它們的電子殼層幾乎不存在交疊。因此,反鐵磁性物質的原子或離子磁矩之間存在間接交換作用,而不是如鐵磁性物質那樣的直接交換作用。這種相互作用十分強,但是反映間接交換作用大小的量——間接交換積分A <0間接,導致相鄰金屬離子磁矩之間相互反平行。相同晶格位置上的平行離子磁矩組成一個壓晶格,稱為磁亞晶格,反鐵磁性物質中一般存在兩個或兩個以上磁亞晶格。
反鐵磁性物質的相鄰磁亞晶格的磁矩之間相互反平行,因此對外並不顯示磁性。在外磁場作用下,也只能出現微弱的磁性。由反鐵磁性轉變為順磁性的磁相變點NT 稱為奈爾溫度。在
NT 處,χ最大。
⑤ 亞鐵磁性
與反鐵磁性物質一樣,亞鐵磁性物質中具有兩個或兩個以上磁亞晶格。所不同的是,相鄰磁亞晶格的原子(離子)磁矩方向相反,但大小不等,從而存在未抵消的磁矩,因此亞鐵磁性物質中存在相當強的磁性;有許多特性,如技術磁化過程的不少特徵與鐵磁性物質十分相似。 亞鐵磁性物質的磁化率 χ > 0,且很大。除鋇鐵氧體等永磁材料外,亞鐵磁性材料大多在高頻區域套用,對於χ特性的要求不同於低頻區域,有時對χ大小的要求顯得並不重要。亞鐵磁性物質的磁相變點稱為奈爾點。
⑥ 超順磁性
隨著納米材料的誕生和發展,一種新型的磁性物質出現了,稱為“超順磁性材料”。如果磁性材料是一單疇顆粒的集合體,對於每一個顆粒而言,由於磁性原子或離子之間的交換作用很強,磁矩之間將平行取向,而且磁矩取向在由磁晶各向異性所決定的易磁化方向上,但是顆粒與顆粒之間由於易磁化方向不同,磁矩的取向也就不同。
套用
法拉第效應可以套用於測量儀器。例如,法拉第效應被用於測量鏇光度、或光波的振幅調變、或磁場的遙感。在自鏇電子學裡,法拉第效應被用於研究半導體內部的電子自鏇的極化。法拉第鏇轉器(Faraday rotator)可以用於光波的調幅,是光隔離器與光循環器(optical circulator)的基礎組件,在光通訊與其它雷射領域必備組件。具體套用如下:
(1) 量糖計(自然鏇光)
(2) 磁光開關與磁光調製器(點調製與空間調製)
(3) 磁光光碟:光信息存儲
(4) 磁光電流感測器(或互感器):測量大電流
(5) 磁光隔離器:在光通信和級聯式雷射器系統中用以隔離後續系統反饋的光信號
(6) 磁光偏頻器:零鎖區雷射陀螺中通過產生偏頻來消除雷射陀螺的閉鎖現象
法拉第效應可用於混合碳水化合物成分分析和分子結構研究。在雷射技術中這一效應被利用來製作光隔離器和紅外調製器。該效應可用來分析碳氫化合物,因每種碳氫化合物有各自的磁致鏇光特性;在光譜研究中,可藉以得到關於激發能級的有關知識;在雷射技術中可用來隔離反射光,也可作為調製光波的手段。
因為磁場下電子的運動總附加有右鏇的拉穆爾進動,當光的傳播方向相反時,偏振面鏇轉角方向不倒轉,所以法拉第效應是非互易效應。這種非互易的本質在微波和光的通信中是很重要的。許多微波、光的隔離器、環行器、開關就是用鏇轉角大的磁性材料製作的。
