定義
磁偶極子是類比電偶極子而建立的物理模型。具有等值異號的兩個點磁荷構成的系統稱為磁偶極子 。比如,一根小磁針就可以視為一個磁偶極子。地磁場也可以看作是由磁偶極子產生的場。磁偶極子受到力矩的作用會發生轉動,只有當力矩為零時,磁偶極子才會處於平衡狀態。利用這個道理,可以進行磁場的測量。但由於沒有發現單獨存在的磁單極子,故我們將一個載有電流的圓形迴路作為磁偶極子的模型。
磁偶極子其中 I 為迴路電流, S為迴路面積矢量,方向由電流方向決定,滿足右手定則。
磁場特性
類比於電偶極子的場強和標勢,磁偶極子也有形式幾乎一致的場強和矢勢。
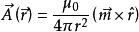
磁場強度 B和磁矢勢 A的關係是:
記真空磁偶極子到空間一點的矢徑為 r ,則其矢勢 A 為:
磁偶極子
磁偶極子
磁偶極子是真空磁導率,大小為 。
通過上兩個式子可以計算得到磁偶極子的磁場場強表達式 。由於磁偶極子的矢勢有一個奇點在它所處的位置(原點O),必須特別小心地計算,才能得到正確答案。經仔細地推導,可以得到磁場為:
磁偶極子其中, 是狄拉克δ函式。由於狄拉克δ函式在 時大小都是 0 ,故在求遠場場強時會略去右邊一項。但在原子尺度下的量子力學中,這一項會作出重要貢獻,偶極磁場的狄拉克δ函式項目造成了原子能級分裂,因而形成了超精細結構(hyperfine structure)。在天文學裡,氫原子的超精細結構給出了21厘米譜線,在電磁輻射的無線電波範圍,是除了3K背景輻射以外,宇宙瀰漫最廣闊的電磁輻射。從複合紀元(recombination)至再電離紀元(reionization)之間的天文學研究,只能依靠觀測21厘米譜線無線電波。
給予幾個磁偶極子時,則按照疊加原理,其總磁場是每一個磁偶極子的磁場的總矢量和。
磁場中的勢能
將載流循環從角弧θ扭轉到角弧θ,磁場所做的機械功W為
磁偶極子注意到磁力矩的扭轉方向是反時針方向,而θ是朝著順時針方向遞增,所以必須添加一個負號。設定θ=π/2,則
磁偶極子對抗這磁場的磁力矩,將載流循環從角弧π/2扭轉到角弧θ,所做的機械功W為
磁偶極子定義載流循環的勢能U等於這機械功W,以方程表示為
磁偶極子
磁偶極子
磁偶極子與前段所述同理,磁偶極子的勢能也可以用這方程表示。當磁偶極矩垂直於磁場時,勢能等於零;當磁偶極矩與磁場呈相同方向時,勢能是最小值;當磁偶極矩與磁場呈相反方向時,勢能是最大值。
電偶極子對比
磁偶極子就是小電流環,即載流線圈,其電磁場與電偶極子剛好對偶。相比之下,磁偶極子的輻射電阻比電偶極子小很多。

