簡介
數控分度頭是一種套用十分廣泛的精密圓分度器件。目前普遍使用的國產數控分度頭的分度精度大多約為 15" (角秒,下同),難以滿足一些高精度分度工件的加工要求,如工具行業加工高精度花鍵塞規、花鍵拉刀、精密等分板等,紡機行業加工提花針織大圓機的圓筒,加工汽車、機車行業用的滾軋輪和國防工業用的送彈凸輪,電機行業定轉子晶片散熱孔的衝壓定位等,其分度定位誤差都要求在 6"左右。
結構
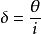
圖1 數控分度頭的總體構成如圖1所示,數控分度頭總體上由數控裝置、接口驅動板、步進電動機、機械傳動裝置、擺動頭及夾具構成。為適應各種加工需要,擺動頭應能在垂直立面上擺動一定的角度,如±90°~±45°。步進電動機的轉動通過機械傳動裝置帶動夾具轉動,為了得到較高的分度精度和便於計算,應該使分度頭的脈衝當量8為較小的整數。即有
數控分度頭=整數
式中:θ為步進電動機的步距角,度/脈衝;i為機械傳動部分的傳動比。
由此可見,要使8較小,就應選取較大的傳動比i。步進電動機的步距角e常用的有1.5°和0.9°兩個,今選取θ=0.9°、i=90,則得δ=0.01°/脈衝,分度精度為±36”,比一般手動萬能分度頭的±45”略高。若要得到更高的分度精度,則加大傳動比。即可.但是,電火花線切割機採用“柔性刃具”,過高的分度精度是沒有必要的。
用途
數控分度頭是加工複雜產品的最佳輔助利器。下面具體給大家講解一下它的用處:
第一:把工件安裝成需要的角度,以便進行切削加工(如銑斜面等)。
第二:銑螺鏇槽時,將分度頭掛輪軸與銑床縱向工作檯絲槓用“交換齒輪”聯接後,當工作檯移動時,分度頭上的工件即可獲得分度
第三:用各種分度方法(簡單分度、複式分度、差動分度)進行各種分度工作。
第四:數控分度頭還可以跟獨立分度頭控制器一起完成工作。用分度頭控制器控制數控分度頭工作。

